Human hair has a complex, hierarchical structure comprising of the cuticle, a highly resilient protective layer, and the cortex, which consists of crystalline keratin intermediate filaments embedded in an amorphous matrix. Hair is anisotropic, behaving differently in the three modes of deformation (longitudinal tensile, bending, and twisting). As a result, the methods of tensile, torsion, and bending can probe different parts of the hair structure, aiding research as well as providing performance data.
As a hair fibre is twisted, the torsional stress is greatest at the periphery of the fibre, making torsion testing ideal to probe the cuticle and fibre matrix. This single fibre measurement is conducted using the Dia-Stron FTT950, which directly measures the force required to twist a fibre. From this, the torsional modulus (G) can be calculated. A higher torsional modulus is indicative of a stiffer fibre. This measurement is sensitive to damage treatments such as bleaching and heat, and is ideal for treatments which interact with the outer components of the hair, for example, oils.1

Single fibre bending, based on a single cantilever method, provides a measure of the bending modulus or bending elasticity. Bending measurements are conducted on the Dia-Stron FBS900 along both the hair minor and major axes, and it is an ideal tool for investigating changes in flexibility and softness due to treatments and damaging processes.
Hair fibres are viscoelastic, exhibiting both viscous and elastic properties. In hair, the viscous term is believed to be driven mostly by the cortex matrix and the interfaces, whereas, the elastic terms are driven by the keratin intermediate filaments.
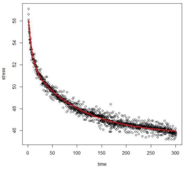
In a tensile stress relaxation experiment, fibres are extended and held at constant strain, with the decay of stress measured as a function of time. Stress-relaxation experiments can provide invaluable data to investigate the formation of bonds and damage within the matrix. It also has applications for research on water style set, permanent waves, and depilatory products.
Stress-relaxation measurements can be conducted as part of a standard tensile experiment in the wet and/ or dry states.
If you are interested in any of the above methods, please contact us for further information.

1. Lunn R, Leray Y, Bucknell S, Stringer D. Quasi-static torsional deformation of single hair fibers: Application of a modelling approach and results from
cosmetic treatments. J Cosmet Sci; 2018, 69: 383-395