Home
Applications
Hair
Natural Fibre
Synthetic Fibre
Skin
Products
fibra.one
Single fibre dimensional
Single fibre tensile
Tress testing
fibra.stress
Single fibre dimensional
Single fibre tensile
fibra.auto
Dimensional measurements
Single fibre fatigue
Multi-module automation
Single fibre tensile
FDAS770
Single fibre dimensional
MTT690
Single fibre tensile
LEX820
Single fibre tensile
LDS-LEX
Single fibre dimensional
Single fibre tensile
LEX-IFSS
Interfacial properties
CYC802
Single fibre fatigue
Single fibre tensile
Ballistometer BLS785
Skin elasticity
Skin firmness
Translucency Meter TLS
Skin translucency
FTT950
Single fibre torsion
FBS900
Single fibre bending
Automation
Multi-module automation
Rental
Instrument rental
Contract Testing
Hair Testing Services
Synthetic and Natural Fibres
Resources
Application Notes
Videos
Brochures
News
About Us
Careers
Contact
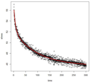
SR decay
SR decay
Subscribe to our Newsletter
For more information about our privacy practices please view our
privacy policy
. By submitting this form you agree that we may process your information in accordance with these terms.
Name
*
Email
*
Company
Form Consent
*
I give consent for Dia-Stron to store and process my information
Marketing Consent
I would also like to receive marketing communications and offers from Dia-Stron via email
Phone
This field is for validation purposes and should be left unchanged.
ePrivacy and GPDR Cookie Consent by
Cookie Consent